(3) n=樣本大小(數據個數)
平均數(
,唸x bar)係由樣本數據求得,稱為「樣本平均數」,一般簡稱
「平均數」。而母體中所有數的平均數稱之「母體平均數」以μ(唸mu)表示。
工程實務上,甚少作100%檢驗,母體平均數(μ)無法得知,而必須採用抽樣檢
驗,計算樣本平均數(
),再利用樣本平均數(
)估計母體平均數(μ)。
4.3 標準差
標準差(standard deviation)用於表示資料之離散程度,若由母體中抽取n個
樣本,其值分別為n x , x ,..., x 1 2 ,其樣本標準差計算如下:
2-22
---------------------------------------------(5)
式中,s =樣本標準差
xi=數據個別值, i=1~n
=平均數
n =樣本大小(數據個數)
標準差(s)係由樣本數據求得,稱為「樣本標準差」,一般簡稱「標準差」。
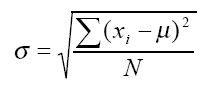
若測得母體中之每一個體值,則可據以計算母體標準差(σ,唸sigma)如下:
------------------------------------(6)
式中,σ=母體標準差
xi=數據個別值, i=1~N
μ=母體平均數
N=母體中之個體數(批量)
工程實務上,甚少作100%檢驗,母體標準差(σ)無法得知,而必須採用
抽樣檢驗,計算樣本標準差(s),再利用樣本標準差估計母體標準差(σ)。
標準差用以表示一群數據之離散程度,標準差愈大表示各數據互相差異
愈大;若數據為品質特性,標準差愈大表示品質愈不均勻。教育部公布[統計
學名詞]及CNS 2579[品質管制詞彙]均將standard deviation譯為「標準差」,部
份土木建築類CNS及社會人士則依日本用語稱「標準偏差」。
4.4 變異係數
變異係數(coefficient of variation)為標準差對平均數之比值,計算公式如
下:
---------------------------------------------(7)
式中,V=變異係數(亦可用小數表示)
s=標準差
=平均數
工程品管上常以標準差或變異係數表示工程品質之不均勻性,其值愈大
表示愈不均勻。至於採用標準差或變異係數表示,需視所應用之情況下何者較
能反應品質水準而定(參見表9實例)。標準差可視為離散程度之絕對值,而
變異係數則為離散程度對平均數之相對值,若變異係數保持一定,平均數大者
其相對應之標準差亦大。
表9為ACI 214[19]建議用以評估混凝土管制水準之準則,說明如下:
(1)全面變異(overall variation):為各次試驗結果之差異,以標準差表示,
用於評估混凝土品質之均勻性,標準差愈大,表示混凝土品質愈不均
勻,管制水準愈差。全面變異之標準差以各次之試驗結果以(5)式
計算得之。
(2)組內變異(within-test variation):為一次試驗中各試體強度間之差異,
以變異係數表示,用於評估試驗之精密度(precision)。其變異係由於
各試體之製作、養治及試驗等差異而引起,組內變異與試驗操作及試
驗儀器穩定性有關,但與混凝土品質無關。組內變異係數需先計算試
驗內之標準差,因一組試體之數量不多,不宜用(5)式計算標準差,
需以(9)式估計之(詳[例12])。
4.5 全距
全距(range)為數據中最大值與最小值之差,其計算公式如下:
R =
xmax-
xmin------------------------------------- (8)
式中, R =全距
xmax =最大值
xmin =最小值
全距用於表示數據之離散程度,其計算容易,日常生活及品管實務上常
用以表示品質之離散程度。
標準差和平均全距(
)有相當良好的統計關係,在樣本少之情況下,
常用樣本之平均全距(
)估計母體標準差,公式如下:
---------(9)
------(10)
式中,σ=母體標準差
k=樣本組數,通常要求k≧10,使推估結果較為理想
Ri=第i 組之全距
d 2=統計係數,和每組之樣本大小(n)有關,如表10 所示
表10 d 2 係數
| 樣本大小(n) | d2 |
|---|---|
| 2 | 1.128 |
| 3 | 1.693 |
| 4 | 2.059 |
| 5 | 2.326 |
| 6 | 2.534 |
| 7 | 2.704 |
| 8 | 2.847 |
| 9 | 2.970 |
| 10 | 3.078 |
五、常態分配
5.1 常態分配概述
繪製直方圖(圖4)時,如果數據個數逐漸增加,則分組數亦可相對增加,
則組距逐漸變小,所繪之直方圖將逐漸趨近於平滑曲線,當數據個數趨近於無
限多時,很多品質特性之分配曲線常呈左右對稱之鐘形曲線(如圖7所示),
稱為常態分配曲線(normal distribution curve),並可用(11)式之常態分配之機
率密度函數表示:
-∞<x<∞ -----------------(11)
式中,x=變數 e=2.718281828(自然對數)
μ=母體平均數
σ=母體標準差
圖7 直方圖與常態分配曲線
工程品質實際分配狀況為人力所無法獲知,實務上常將其假設為常態分
配,以此項假設為基礎,我們可以設定公差大小、預定製程目標、製作管制圖、
建立抽樣檢驗計畫、評估製程能力等,用途廣泛。
常態分配曲線有以下特質:
(1) 常態分配曲線為單峰型,峰頂所對應之水平座標值為母體平均數(μ)。
(2) 常態分配曲線為左右對稱於x=μ之垂直軸,兩側各有一個反曲點,各
反曲點與平均數之水平距離為一個母體標準差(σ) (如圖8所示)。

圖8 常態分配曲線
(3) 兩側以水平軸為漸近線,所涵蓋範圍為-∞至+∞。
(4) 常態分配有兩個參數,分別為平均數(μ)和標準差(σ),曲線形狀由此
兩參數決定:
a. 平均數(μ)決定常態分配曲線中心線之水平位置:
平均數變大時,中心線往右平移;反之,平均數變小時,中心線往左平
移(圖9.a)。
b. 標準差(σ)決定曲線分散寬窄:
標準差大時,曲線平緩,分布寬闊;反之,標準差小時,曲線尖銳,分
布狹窄(圖9.b)。

圖9 常態分配曲線的變化
(5) 常態分配曲線總覆蓋面積(水平座標由-∞至+∞)為所有數值之出現機
率,設定為1。水平軸上任何兩座標點(xa 及xb )所夾曲線面積,為此
兩座標值間之出現機率P〔xa ≦x≦xb 〕。

圖10 兩座標點所夾曲線面積
(6) 平均數=μ,標準差=σ之常態分配(用[N(m,s 2 ) ]表示,σ2為標準差之
平方,統計名詞為「變異數」)可轉換為μ=0、σ=1之標準常態分配(用
[N(0,1) ]表示)。轉換前後之兩組對應座標點所夾曲線面積佔其總面積之
比率相同,標準常態分配之面積可查表取得。

圖11 常態分配轉換成標準常態分配
5.2 以常態分配估計機率
工程品管上常假設品質特性為常態分配,我們可據以估計某一定範圍內
的機率(亦稱或然率、概率),如合格率(品質特性在規格界限內之機率)、
不合格率(品質特性超出規格界限之機率)等。
假設某品質特性以x表示,且知其呈現常態分配,經抽驗n次並計算得樣
本平均數(x )及樣本標準差(s),今欲估計該品質特性出現在xa 及xb 間之機率,
P〔xa ≦x≦xb 〕。估計方法如下:
((1)以樣本平均數(x )估計母體平均數(μ)。
(2)以樣本標準差(s)估計母體標準差(σ)。
(3)確定所求數值之上下限範圍:xa 及xb 。
(4)分別計算xa 和xb 與平均數(μ)之差距,以標準差(σ)表示:
---------(12)
----------(13)
(5)查標準常態分配表(表13),分別求得由-∞到za 與zb 之累積機率:
P〔z≦ za 〕:z 在za 以下之累積機率
P〔z≦ zb 〕:z 在zb 以下之累積機率
(6)相減二累積機率,即可得解:
P〔xa ≦x≦ xb 〕=P〔z≦ zb 〕-P〔z≦ za 〕---------(14)
P〔z≦za 〕為標準常態分配之累積機率,可由(15)式計算,人工作業實務
上,係由查表13 [標準常態分配表] 得之。
---------(15)
式中,F(za)代表標準常態分配由-∞到za之累積機率。
常態分配曲線為左右對稱,標準常態分配表通常僅列右半部份(z
≧0 部份),需用z<0 部份時,因為標準常態分配在-za 以下部份之面積
F(-Za)等於Za以上部份之面積1 - F (Za) ,故可用(16)式換算
F(-Za) = 1 - F (Za)------------------------- (16)
表13 標準常態分配表


以相同方法可求得常態分配平均數上下一個標準差至三個標準差之涵蓋
機率如下(參見圖15):
(1)平均數上下一個標準差(μ±σ):
P[μ-σ≦x≦μ+σ] = p[-1≦z≦1] = 2(0.8413-0.5)= 0.6826
(2)平均數上下二個標準差(μ±2σ):
P[μ-2σ≦x≦μ+2σ] = p[-2≦z≦2] = 2(0.9772-0.5)= 0.9544
(3)平均數上下三個標準差(μ±3σ):
P[μ-3σ≦x≦μ+3σ] = p[-3≦z≦3] = 2(0.9987-0.5)= 0.9974
以上三值常被引用,工程習慣上常取指定值 ±3σ作為公差,若母體為常
態分配時,其涵蓋機率約為99.74%,工程項目很重要時,可進一步考慮採用 ±
2σ作為公差,其涵蓋機率為95.44%

圖15 常用常態分配含概率
[例1] 某工程規範需規定X材料之長度公差,經調查以往正常製程資料分析得長度之標準差為0.1mm,試擬定X 材料長度之
個別值公差界限( tolerance limit)。
解:
茲按工程習慣取正負三個標準差(±3σ)作為自然公差界限(natural tolerance limit),故可擬定X材料長度公差如下:
±3σ=±3(0.1)=±0.3mm
若該X材料之設計長度為1000mm,則設計圖可標示長度為1000±0.3mm
5.3 平均數之分配
由一呈現常態分配之母體[N(m, σ^2
) ]中隨機抽取n件樣本,計算其平均數
則
亦呈現常態分配
(圖16),其平均數和標準差,如(17)(18)
n愈大時,
愈小,故常態分配曲線愈尖銳。工程品管常以平均數(
)作為品質指標,平均數(
)分配與個別值(x)分配之標準差不同,不能混用.
=μ----------(17)
------(18)
式中:μ=個別值分配之平均數
=平均數分配之平均數
σ=個別值分配之標準差
=平均數分配之標準差

圖16 平均數之常態分配
在[例1]中係採個別值之公差為±0.3mm,假設製造中進行抽驗4個,其平均值之公差則變為:
±3
=±3
=±3*(0.1/(4)^0.5)=± 0.15 mm
在相同機率之條件下,平均數公差界限應該比個別值公差界限狹窄,規範涉及採用平均數作判斷時,應特別注意第(18)式之關係,兩者數值雖然不
同,因均採用正負三個標準差作為公差界限,將維持相同之合格率 .
偏度 (Skewness)-如 (19)式 a3 , 檢視常態分佈曲線偏離對稱性之程度.a3=0時,曲線為對稱性,a3<0時數據向左偏離,曲線較長尾邊在左邊,a3>0時數據向左偏離,曲線較長尾邊在右邊.
--------(19)
峰度 (Kurtosis)-如 (20)式 a4 , 判斷兩分佈曲線之峰高數值,例如常態分佈曲線之a4=3,當a4>3時,呈較尖的曲線(leptokurtic) , 當 a4<3時,呈較平滑之曲線 (platykurtic).
-------(20)
六、管制圖
6.1 管制圖概述
品質管制圖於1924年由Dr. Shewhart提出,故又稱Shewhart Chart。工程施工經常歷時甚久,將同一品質特性之每次檢驗結果依產生順序標示在一時間座
標上,可以連成一高低起伏之折線,明白顯示品質變化狀況,另以統計原理設
置上下管制界限及中心線,即形成品質管制圖,當有異常跡象時,可以立即採
取應變措施。品質管制圖特別適用於大量及連續性產製之材料或施工。
影響品質變化之因素甚多,以其發生機率及影響程度可分為兩大類:
(1) 隨機原因(亦稱機遇原因,random causes):如材料在公差範圍內的少
許變化、環境略有差異、取樣及試驗的隨機誤差等。其來源很多,對
品質影響輕微,要完全徹底消除很不經濟,一般不予追究。工程規範
通常會考慮隨機原因所引起之品質變化,而允許若干公差。
(2) 異常原因(亦稱可究原因,assignable causes):如錯用材料、材料配方錯誤、機械失控、操作錯誤、取樣或試驗方法不對等。其發生機會不多,萬一發生時對品質影響嚴重,必須立即追究原因並作改正。品質管制圖之用途在於偵測是否有「異常原因」存在,提供品管判斷之
依據。
通常以中心線(CL)之上下各三個標準差(CL±3σ)為管制界限(涵蓋機
率約99.74%),惟必要時亦可設置管制界限為CL±2σ,以提高反應靈敏度,但也會增加緊張度(因為管制圖點更容易超出管制界限,可能將隨機原因之變化誤判為異常原因之變化,誤發警訊引起工作人員緊張)。
管制圖之判讀係採用統計檢定原理,以機率推算當製程為正常時,某現
象之出現機會很低(通常設定為小於1%),如果出現該現象,我們就判定製
程異常了。一般當有下列三種現象之一時,可判定有異常原因存在,應追究改正(參見圖18)
(1) 有任何一點落在管制界限以外(採用CL±3σ為管制界限,製程正常時,
其出現機率小於1%)。
(2) 連續七點出現在中心線之上邊或下邊。
(3) 連續七點出現持續上升或持續下降。
註:此處所列舉者為最簡易研判規則,足供一般工程使用,更詳細研判規則請參閱品管專書,如參考文獻[3]。引進使用管制圖初期,先採簡易規則即
可產生效果,待有相當經驗可再進一步考慮採用更複雜研判規則。



圖18 管制圖異常現象示例
6.2 平均值-全距管制圖
平均值-全距管制圖(
- R Chart),係由平均值管制圖(
Chart)與全
距管制圖(R Chart)兩圖合成,通常適用於1<n<10情況。平均值管制圖用於
管制品質之集中趨勢,全距管制圖用於管制品質之離散程度。製程管制宜先使
製程穩定(用全距管制圖),再求平均值維持理想目標(用平均值管制圖),
有如打靶,首先要求掌握瞄準及射擊要領,使彈著點得以集中,然後才調整照
門使彈著點命中靶心。
由抽取樣本各組試驗值平均數之平均(
)與抽取樣本各組試驗值全距之平均全距(R )建立UCL、CL、LCL三條管制線.
蒐集以往正常製程資料,至少有10組數據。本例採前十日資料為依據,以連續二個結果為一組,如表14所示。
註:在製造業上製作管制圖,通常要求有25組以上數據,公共工程獲
得數據成本高,常以較少組數據先訂管制界限,其誤判率較高,宜在
累積較多數據後重新檢討管制界限。
計算平均數管制圖之管制界限:
中心線:CL = ![]()
管制上限: UCL =
+A2
×
------(23)
管制下限: LCL =
- A2 ×
------ (24)
計算全距管制圖之管制界限:
中心線:CL = ![]()
管制上限: UCL = D4 ×
------ (25)
管制下限: LCL=D3 X
-------- (26)
註:(22)至(27)式中之A2、D3、D4為管制圖係數,可查表15 得之。以上管制圖係數是以統計原理求得,使管制界線與中心線相距
三個標準差之係數。
表15 計量值管制圖係數

6.3 個別值-移動全距管制圖
若取樣頻率甚低,且每次僅能獲得一個試驗結果(即n=1 情況),可採用個別值—移動全距管制圖( x - Rm Chart),其個別值(x)為各
次之試驗結果,移動全距( Rm)為前後二次試驗結果之差值。
計算移動全距管制圖(Rm Chart):
中心線:CL =
-----(28)
管制上限: UCL = D4 ×
----- (29)
管制下限: LCL = D3 ×
-------(30)
註:上式中為管制圖係數D3及D4,由表15 之n=2 列查得。
計算個別值管制圖(x Chart):
通常管制界限採用「CL±3σ」,因為個別值管制圖較不敏感(註:不敏感指製程已發生變化,但管制圖尚無出現異狀),故常採用「CL±2σ」作為
管制界限,以提高敏感度,計算如下:
中心線:CL = x
--------(31)
管制上限:
UCL =
+2σ=
+ 2*(
/d2)-------(32)
管制下限:LCL =
-2σ=
- 2*(
/d2)-------(33)
d2,由表10 之n=2 列查得。
6.4 ACI 混凝土抗壓強度管制圖
為執行工程品管之需要,尚可發展各種適用之特殊管制圖,如美國混凝土學會ACI 214委員會[19]即配合ACI混凝土設計及施工規範發展出一種特殊
管制圖,由個別值管制圖(x Chart)、移動平均值管制圖(
m Chart)及移動平均全距管制圖(
m Chart)等三個圖組合而成,以下將以[例19]說明ACI混凝土抗壓強度管制圖(圖21)之製作。各圖先說明如下:
(1) 個別值管制圖(x Chart):
圖中之圓點為試體強度,連結各組試驗結果(同組二試體之平均值)成折線,以顯示試驗結果之高低變化,圖中標有規定強度(fc’)及需要平均強度(配比目標強度)(fcr’)。
(2) 移動平均值管制圖(
m Chart):
圖中各點為前連續五組試驗結果之移動平均,例如以第一至第五組
試驗結果之平均,點出第一個移動平均強度;以第二至第六組試驗結果之平均,點出第二個移動平均強度;以下類推。此圖可顯示強度變化走勢、週期性變化等。至於取連續幾組之移動平均,可視個案需要而定。圖中標有需要平均強度(配比目標強度)(fcr’ )。
(3) 移動平均全距管制圖(
m Chart):
圖中各點為前連續十組試體強度之移動平均全距,例如以第一至第十組之平均全距,點出第一個移動平均全距;以第二至第十一組之平均
全距,點出第二個移動平均全距;以下類推。此圖可顯示試驗精密度,
作為判斷組內變異水準之用。圖中虛線係以表9之組內變異為「可以等級」上限5%(V=0.05)所標示,其計算如下:
Max.Rm = σ1 × d2 = ( fcr'×V1 ) × d2 -------(34)
式中, Max.Rm =移動平均全距之許可最大值
σ1=試驗內標準差
fcr’ =需要平均強度(配比目標強度)
V1=組內變異係數,此處設定為0.05
d2=統計係數,依一組試體之個數(n)決定(查表10)
若每組有兩個試體時,n=2,d2=1.128
Max.Rm =(0.05)(1.128)fcr’=0.05640.fcr’----- (35)
若每組有三個試體時,n=3,d2=1.693
Max.Rm =(0.05)(1.693)fcr’=0.08465.fcr’----- (36)