BEAM FORMULAS WITH SHEAR AND MOMENT DIAGRAMS
| Uniformly Distributed Load | |
![]() |
![]() |
| ¡@ | |
|
Uniform Load Partially Distributed |
|
![]() |
![]() |
| ¡@ | |
|
Uniform Load Partially Distributed at One End |
|
![]() |
![]() |
| ¡@ | |
|
Uniform Load Partially Distributed at Each End |
|
![]() |
![]() |
| ¡@ | |
|
Load Increasing Uniformly to One End |
|
![]() |
![]() |
| ¡@ | |
|
Load Increasing Uniformly to Center |
|
![]() |
![]() |
| ¡@ | |
|
Concentrated Load at Center |
|
![]() |
![]() |
| ¡@ | |
|
Concentrated Load at Any Point |
|
![]() |
![]() |
| ¡@ | |
|
Two Equal Concentrated Loads Symmetrically Placed |
|
![]() |
![]() |
| ¡@ | |
|
Two Equal Concentrated Loads Unsymmetrical Placed |
|
![]() |
![]() |
| ¡@ | |
|
Two Unequal Concentrated Loads Unsymmetrical Placed |
|
![]() |
![]() |
| ¡@ | |
|
Uniformly Distributed Load |
|
![]() |
![]() |
| ¡@ | |
|
Concentrated Load at Free End |
|
![]() |
![]() |
| ¡@ | |
|
Concentrated Load at Any Point |
|
![]() |
![]() |
| ¡@ | |
|
Beam Fixed at One End, Supported at Other ¡V Uniformly Distributed Load |
|
![]() |
![]() |
| ¡@ | |
|
Beam Fixed at One End, Supported at Other ¡V Concentrated Load at Center |
|
![]() |
![]() |
| ¡@ | |
|
Beam Fixed at One End, Supported at Other ¡V Concentrated Load at Any Point |
|
![]() |
![]() |
| ¡@ | |
|
Beam Overhanging One Support ¡V Uniformly Distributed Load |
|
![]() |
![]() |
| ¡@ | |
|
Beam Overhanging One Support ¡V Uniformly Distributed Load on Overhang |
|
![]() |
![]() |
| ¡@ | |
|
Beam Overhanging One Support ¡V Concentrated Load at End of Overhang |
|
![]() |
![]() |
| ¡@ | |
|
Beam Overhanging One Support ¡V Concentrated Load at Any Point Between Supports |
|
![]() |
![]() |
| ¡@ | |
|
Beam Overhanging Both Supports ¡V Unequal Overhangs ¡V Uniformly Distributed Load |
|
![]() |
![]() |
| ¡@ | |
|
Beam Fixed at Both Ends ¡V Uniformly Distributed Load |
|
![]() |
![]() |
| ¡@ | |
|
Beam Fixed at Both Ends ¡V Concentrated Load at Center |
|
![]() |
![]() |
| ¡@ | |
|
Beam Fixed at Both Ends ¡V Concentrated Load at Any Point |
|
![]() |
![]() |
| ¡@ | |
|
Continuous Beam ¡V Two Equal Spans ¡V Uniform Load on One Span |
|
![]() |
![]() |
| ¡@ | |
|
Continuous Beam ¡V Two Equal Spans ¡V Concentrated Load at Center of One Span |
|
![]() |
![]() |
| ¡@ | |
|
Continuous Beam ¡V Two Equal Spans ¡V Concentrated Load at Any Point |
|
![]() |
![]() |
| ¡@ | |
|
Continuous Beam ¡V Two Equal Spans ¡V Uniformly Distributed Load |
|
![]() |
![]() |
| ¡@ | |
|
Continuous Beam ¡V Two Equal Spans ¡V Two Equal Concentrated Loads Symmetrically Placed |
|
![]() |
![]() |
| ¡@ | |
|
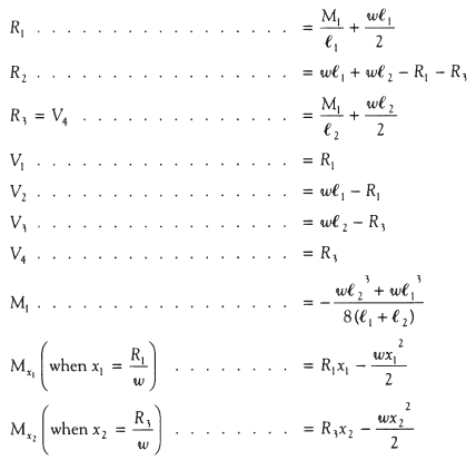
Continuous Beam ¡V Two Unequal Spans ¡V Uniformly Distributed Load |
|
![]() |
![]() |
| ¡@ | |
|
Continuous Beam ¡V Two Unequal Spans ¡V Concentrated Load on Each Span Symmetrically Placed |
|
![]() |
![]() |